Blog
Kitab Taurat Diturunkan Kepada Nabi Musa Pada Abad
mega monster battle ultra galaxy legend the movie pemeran
memohon contoh surat rasmi permohonan tanah
malaysian passport photo size
masjid sultan mizan zainal abidin
malaysia english formal letter format
memohon contoh surat sokongan permohonan kerja
masa depan in english
media cetak in english
Ppt Kitab Kitab Allah
Ppt Kitab Kitab Allah
Iman Kepada Kitab Allah Swt Ppt Download
Bab Iman Kepada Kitab Allah
Materi Pendidikan Agama Islam Iman Kepada Kitab Kitab Allah Ppt
Diantara 4 Kitab Allah Yang Paling Awal Terdahulu Adalah Kitab
Apakah Isi Jawaban Di Atas Brainly Co Id
Bab Iii
Taurat Wikipedia Bahasa Indonesia Ensiklopedia Bebas
Tolong Bantu Saya Meringkas Tugas Ini Ya Bsk Mau Dikumpulkan Yg
Ppt Kitab Kitab Allah
Kitab Kitab Allah
Agama Pembelajaran 2 Materi Pembelajaran Kelas V Sd Mi Tema 1
Materi Pendidikan Agama Islam Iman Kepada Kitab Kitab Allah Ppt
Pengertian Kitab Kitab Allah Taurat Zabur Injil Dan Al Quran
Disusun Oleh Laila Latifatun Nisa Ppt Download
Ketentuan Beriman Kepada Kitab Kitab Allah
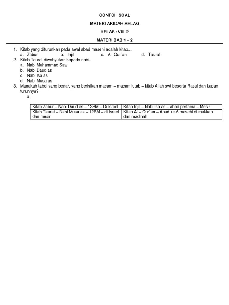
Contoh Soal Ulangan
People Want It Now Kitab Kitab Allah Swt Beserta Keterangannya
Taurat Adalah Kitab Yang Diturunkan Kepada Nabi Musa A S Kitab
Source :
pinterest.com
Random Posts
Kongsi Gelap Paling Kuat Di Malaysia
Laporan Penilaian Prestasi Contoh Ayat Ulasan Prestasi Kerja Pyd
Latar Belakang In English
Konsep Dan Takrifan Sistem Pengangkutan
Lambang Jata Negeri Di Malaysia
Kontraktor Contoh Surat Tuntutan Bayaran Kerja
Kontraktor Contoh Surat Tawaran Tender
Kreatif Sudut Go Green Eksa
Kuil Sri Maha Mariamman Kamunting
Lagu Baru English 2017
Kumpulan Pengurusan Dan Profesional Perkhidmatan Awam
Kuil Sri Maha Mariamman
Latihan Kebakaran Fire Drill
Laporan Penilaian Prestasi Khas
Latar Belakang Syarikat Petronas
Laos Embassy In Malaysia
Langkah Mengatasi Krisis Air Geografi
Latihan Industri Di Bank Islam
Latar Belakang Syarikat Babas
Langkah Langkah Mengekalkan Keamanan Dan Kedaulatan Negara