Blog
Zaman Selepas Khulafa Ar Rasyidin
khulafa ar rasyidin pdf
kesan dadah kepada masyarakat
ketua setiausaha negara malaysia
khalifah abu bakar as siddiq menjabat sebagai khalifah selama
ketua pengarah perkhidmatan awam
kompleks kementerian dalam negeri wp kuala lumpur
kitab taurat diturunkan kepada nabi musa di
kombinasi matching warna baju dan tudung
Bab 2 Pemikiran Tamadun Islam Zaman Awal
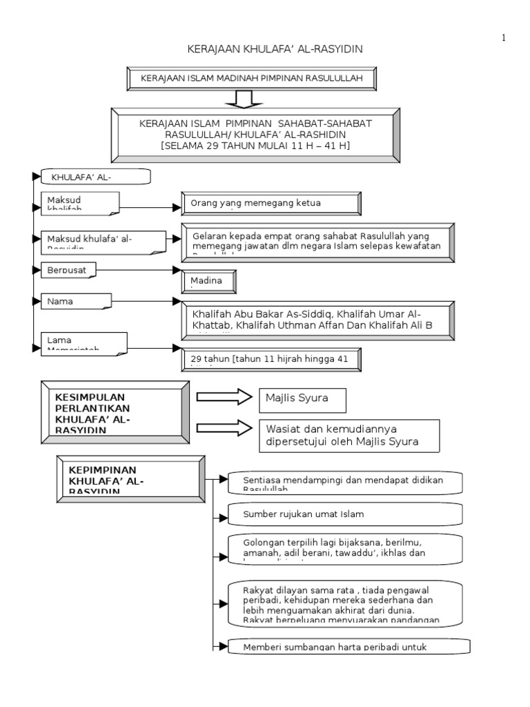
Zaman Khulafa Al Rasyidin
Zaman Khulafa Al Rasyidin
Kepimpinan Khulafa Al Rasyidin
Zaman Khulafa Al Rasyidin
Kerajaan Khulafa Arrasyidin
Sejarah Baharu Stpm Pra U Smart 1 5 Institusi Khalifah
Zaman Khulafa Al Rasyidin
Perkembangan Tamadun Islam Zaman Umaiyyah
Zaman Khulafa Ar Rasyidin
Zaman Khulafa Al Rasyidin
Kerajaan Khulafa Pertanyaan Integritas
Zaman Khulafa Al Rasyidin
Kerajaan Khulafa Arrasyidin
Sejarah Baharu Stpm Pra U Smart 1 5 Institusi Khalifah
Zaman Khulafa Al Rasyidin
Bab 4 Zaman Khulafa Al Rasyidin Authorstream
Ctu551 Muhammad Nazim Musa
Draft 1 Ustzh Mariah
Sejarah Baharu Stpm Pra U Smart 1 5 Institusi Khalifah
Source :
pinterest.com
Random Posts
Senarai Syarikat Yang Menawarkan Sponsor 2017
Senarai Syarikat Yang Menawarkan Sponsor 2019
Siapa Muhammad Qasim Bin Abdul Karim
Sifat Peribadi Saidina Uthman Bin Affan
Senarai Syarikat Yang Menawarkan Sponsor
Sistem Eperolehan Baru 2018
Siapa Timbalan Perdana Menteri Malaysia 2020
Setiausaha Pejabat Gred N29
Simbol Bangunan Dalam Peta
Sijil Lahir Bukan Warganegara 2020
Sesuatu Rang Undang Undang Mestilah Melalui Susunan Tahap Tahap Berikut
Sifat 20 Allah Dan Maksudnya Dalam Jawi
Sijil Berhenti Sekolah Menengah Online
Sijil Perakuan Pendaftaran Sementara Mmc
Senarai Semak Permohonan Ke Luar Negara
Senarai Utc Di Malaysia
Silat Cekak Pusaka Hanafi
Senarai Semak Pemberian Taraf Berpencen
Senarai Pegawai Kerajaan Gred 41 Ke Atas
Senarai Tender Kerajaan 2019